Free Confidentiality Agreement Template PDF Word

Free Printable Confidentiality Agreement Form

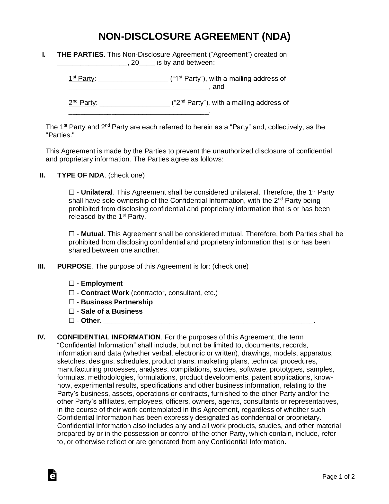
Confidentiality agreements are crucial in protecting sensitive information shared between parties. Whether you’re a business owner, freelancer, or independent contractor, having a signed confidentiality agreement in place can safeguard your data and prevent unauthorized disclosure.

If you’re looking for a hassle-free way to create a confidentiality agreement, look no further. Our website offers a free printable confidentiality agreement form that you can customize to meet your specific needs. It’s quick, easy, and most importantly, legally binding.

Free Printable Confidentiality Agreement Form

Free Printable Confidentiality Agreement Form

Free Printable Confidentiality Agreement Form

Our free printable confidentiality agreement form template covers all the essential elements required in a confidentiality agreement. You can input details such as the parties involved, the scope of the agreement, duration, and any exceptions to confidentiality.

Once you’ve filled in all the necessary information, both parties can sign the agreement electronically or in person. This document serves as proof that all parties involved understand their obligations regarding confidential information and agree to abide by the terms outlined in the agreement.

By using our free printable confidentiality agreement form, you can save time and money on legal fees. It’s a convenient option for individuals and businesses looking to establish clear guidelines on how confidential information should be handled and protected.

Don’t wait until it’s too late to protect your sensitive information. Download our free printable confidentiality agreement form today and ensure that your data remains secure and confidential. It’s a simple yet effective way to safeguard your business interests and maintain trust with your partners and clients.

Take the first step towards protecting your confidential information by using our free printable confidentiality agreement form. With just a few clicks, you can create a legally binding document that provides peace of mind and security for all parties involved. Download your confidentiality agreement form now and rest easy knowing that your sensitive information is protected.

45 Free Confidentiality Agreement Templates NDA TemplateArchive

45 Free Confidentiality Agreement Templates NDA TemplateArchive

44 Non Disclosure Agreement Templates NDA Forms

44 Non Disclosure Agreement Templates NDA Forms

Free Non Disclosure Agreement Template Document

Free Non Disclosure Agreement Template Document

Free Non Disclosure Agreement NDA Templates 21 PDF Word EForms

Free Non Disclosure Agreement NDA Templates 21 PDF Word EForms

Free Confidentiality Agreement Template PDF Word

Free Confidentiality Agreement Template PDF Word

Leave a Reply

Your email address will not be published. Required fields are marked *